一年一度的券商各项指标排名来了!
6月18日晚,中国证券业协会发布2020年证券公司经营业绩排名情况,对证券公司资产规模、各项业务收入等38项指标进行了统计排名。
这份榜单看点多多,比如东方财富证券等中小券商的资本实力大幅提升;金融代销收入排名大洗牌,行业格局充满变数;投行或机构业务尽管已呈现“头部效应”,但部分中小券商表现突出,行业差异化发展、特色化经营初见成效。
数据显示,中国证券行业整体规模实力稳步提升。截至2020年末,中国证券行业总资产8.78万亿元,净资产2.23万亿元,分别较上一年年末增长了22.32%和14.02%。
首先来看“总资产”指标,单家总资产4000亿以上的已经达到了7家。其中,中信证券总资产规模率先进入“八千亿”大关,截至2020年年末为8102.59亿元;华泰证券与国泰君安总资产规模接近,分别为5377.42亿元和5343.53亿元;招商证券、申万宏源、海通证券、广发证券总资产均在4000亿以上。
2020年年末总资产突破千亿共有19家券商,家数与2019年无变化。而总资产在500亿元-1000亿元区间的中型券商已达到了18家,相比2019年增加了12家,东方财富证券、天风证券、国金证券、民生证券、华福证券、西部证券进入“总资产500亿”大军。
其中,东方财富证券排名增长最猛,2019年为第38名(总资产427.52亿元),跃升至2020年的22名(802.17亿元),总资产同比增长多达88%。

净资产方面,中信证券2020年末净资产达到1576.57亿元,排名第一。海通证券和国泰君安均超过1300亿元,紧居其后。净资产上千亿的共有5家券商,相比2019年增加1家。招商证券净资产规模首次进入“千亿俱乐部”,为1012.28亿元。
数据显示,共有51家券商净资产规模在百亿以上,相比2019年的46家有所增加。比如中原证券、第一创业证券、信达证券、五矿证券、国联证券、开源证券、财信证券2020年末净资产规模都超过百亿。


衡量证券公司资本充足和资产流动性状况的重要监管指标——净资本,根据中国证券业协会数据,证券行业净资本合计1.80万亿元,较上年末增长11.80%。据了解,去年以来多家上市券商通过定增、配股等方式持续“补血”。
从排名来看,2020年前五与2019年没有变化。国泰君安与中信证券的净资本规模最大,均超过千亿;海通证券尽管仍排名第三,但净资本同比增长13%。
中小券商方面,西部证券和东方财富证券的净资本排名上升迅速。西部证券从2019年27名提升至2020年的20名,净资本达到232.73亿元。东方财富证券以225.06亿元紧跟其后(21名),上一年度其以132.23亿元仅排在34名。

从盈利能力来看,中国证券业协会表示,2020年度证券行业业绩持续改善,达到最近3年最高水平,全行业实现营业收入4398.15亿元,同比增长24.93%;实现净利润1707.78亿元,同比增长39.20%。
首先看“营业收入”指标,中信证券以341.40亿元营收排名第一,国泰君安、华泰证券、中信建投2020年营业收入均有200亿元以上。其中,中信建投证券排名有进步,从2019年的第8名上升至2020年的第4名。
中金公司迈入“前十”,以157.01亿元排在第十位,挤出曾为第十名的银河证券(2020年营收145.91亿元)。东方证券和光大证券的2020年营业收入均超过百亿规模,前者营收增幅51%,后者同比增长24%。

在净利润方面,共有5家券商净利润在百亿以上,中信证券净利润达到149.02亿元,国泰君安为111.22亿元,海通证券、华泰证券、广发证券的净利润规模接近。
中金公司净利润排名再次挤进前十,以72.07亿元排在第十位,这次被挤出的是国信证券,该券商以66.16亿元净利润排在第11位。
在第二梯队中,东方财富证券的净利润排名上升4位,2020年以29.6亿元排在第15名,已超过东方证券(27.23亿元),并大幅缩小与同样具有互联网背景的平安证券(30.64亿)之间距离。


另有11家券商2020年净利润亏损,其中太平洋证券净利润亏损7.61亿元,被接管的新时代证券亏损1.01亿元,川财证券亏损7179万元。
多家新设的外资券商表现不佳,金圆统一证券是亏损最少的券商;汇丰前海成立多年仍然亏损,2020年亏损1.36亿元。
在传统业务板块中,证券经纪业务表现备受市场关注。2020年A股行情火热,吸引增量资金入场,券商无疑赚得盆满钵满。
数据显示,中信证券的证券经纪业务收入以87.77亿元排名第一;国泰君安以77.01亿元排名第二。招商证券是大型证券公司中强势逆袭的券商,从2019年的第7名上升至2020年的第3名,证券经纪收入为62.15亿元。
营业部数量最多的券商——银河证券,证券经纪业务收入排名则从2019年的第3名掉至2020年的第6名(57.98亿元)。


随着近年来证券公司加速推进财富管理转型,金融产品配置成为财富管理转型中的重要抓手。而2020年A股投资浪潮中,基金配置受到越来越多的投资者认可,2020年成为基金大年。
中国证券业协会数据显示,券商代销金融产品收入的排名变化剧烈,显示出代销格局震荡。但大型券商尚未形成明显的主导地位,各家证券公司都欲利用此业务“弯道超车”。
具体来看,中信证券2020年代销金融产品收入为20亿元,暂时排名第一;国泰君安在2019年排名仅11位,在奋力前追后,2020年猛然上升至第2名,代销收入为9.34亿元。
第一、二梯队中排名同样大幅上升的还有东方证券和方正证券,前者排名上升4个名次至第11名,后者前进5个名次至第13名。
有人欢喜有人愁,部分券商代销收入排名下滑明显。银河证券从2019年的第6名跌至2020年的第10名(4.16亿元);兴业证券从2019年的第4名跌至2020年的第8名(5.33亿元)。
国金证券从2019年的第13名掉到2020年的第19名(2.02亿元);海通证券直接跌出前20名,以1.68亿元代销收入排名第21位。

机构业务也是券商经纪板块中的核心之一。近年来,可以看到券商加强机构客户开发,增强机构客户服务及交易业务能力,具体表现在比如发力挖掘量化客户、推动融券业务发展、做大卖方研究等。
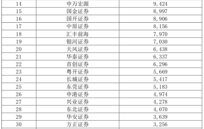
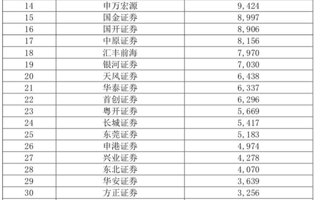
根据中国证券业协会数据显示,2020年度“代理机构客户买卖证券交易额”排名中,前五名位置与2019年相比没有变化,依次为中信证券(51.82万亿元)、国泰君安(27.16万亿元)、华泰证券(24.99万亿元)、中金公司(24.77万亿元)、申万宏源(23.21万亿元)。
尽管大型券商在机构业务中已形成头部效应,但中小券商也在补短板,探索特色化路线,而且成效初显。在前50名中,华西证券排名上升最快,从2019年的56名迅速升至2020年的29名(2.69万亿),进步了27名!
西部证券和浙商证券均前进15名,2020年代理机构客户买卖证券交易额分别排第37名(1.84万亿)、第39名(1.7万亿)。
宏信证券进步11名,2020年排在第40位(1.61万亿);瑞银证券进步10名,2020年排第35名(1.95万亿)。


同样以服务机构客户为主的“投资咨询业务”排名中,部分中小证券公司表现突出。招商证券以6.74亿元排名第一,平安证券以3.23亿元排名第二;国泰君安投资咨询业务收入排名第5,为2.36亿元,进步26个名次!东方证券同样进步明显,从2019年的25名上升至2020年的第8名(1.61亿元)。
此外,华创证券以1.51亿元收入进入前十,上升8个名次;第一创业证券、安信证券投资咨询业务收入规模接近,均超过1.3亿元,依次排在第11名、第12名,两家进步同样明显。


除了经纪业务外,券商“证券投资收入”也是另一大看点。由于投资能力各异,该指标排名相比其他指标更具不确定性。
受行情升温影响,2020年共有7家券商证券投资收入超过50亿,相比2019年多出2家。
中信证券的证券投资收入规模比上一年度上一个台阶,是唯一一家超过百亿的券商,为108.54亿元;中信建投排名第2,为76.97亿元,相比2019年上升8名;中金公司以57.57亿元排第4,排名上升7位;东方证券排名第9(41.83亿元),前进了5个名次。
而国泰君安、银河证券、广发证券、国信证券4家券商,无论是排名,还是收入规模,均较2019年出现了不同程度的下滑。
此外,共有4家券商证券投资收入为负,其中九州证券为-1.11亿元;爱建证券-573万元。


2020年还是创业板的改革年。科创板试点注册制起步,再到创业板实施“存量+增量”改革,注册制改革取得突破性进展。
中国证券业协会表示,截至2020年末我国直接融资比重持续提升,达12.6%。与此同时,2020年度证券行业投行业务收入达到670.67亿元,同比增长39.76%,占营业收入比例达15.25%。2020年度证券公司实现股票主承销佣金收入268.52 亿元,同比增长高达115.25%,债券主承销佣金收入252.44 亿元,同比增加24.76%,行业服务实体经济直接融资能力进一步提升。
投行收入“宝座”一直被中信证券和中信建投两家大型券商争夺,2020年中信建投证券以57.46亿元收入规模拿下,比中信证券多出四千多万。
在第一、第二梯队中,国金证券以16.57亿元进入前十,排名相比2019年提升6位。民生证券紧跟在国金证券后,2020年投行收入为16.13亿元(第11名),排名上升10个名次。
此外,兴业证券、东吴证券的投行收入排名也进入前20名,分别排在第15名、第17名,各进步7个名次。浙商证券的投行表现突飞猛进,从2019年的40名迅速上升至2020年的19名,投行收入1.03亿元。


资产管理业务方面,2020年东方证券以23.65亿元继续排名第一,远超后来者高居榜首。
中信证券的进步有目共睹,2020年该公司资管收入以19.39亿元排名第二,其在2019年仅排名第六。
大型券商中,光大证券与中金公司的排名相比2019年均进步两个位次,2020年分别排在第5名(13.55亿元)、第10名(10.27亿元)。
申万宏源排名下滑幅度相对明显,从2019年的第5名跌至2020年的第8名(11.83亿元)。

声明:证券时报力求信息真实、准确,文章提及内容仅供参考,不构成实质性投资建议,据此操作风险自担。
证券时报APP
微信公众号